近日,斗牛扑克平台
罗光教授指导2020级研究生熊露霖在欧洲物理学会旗下经典期刊“欧洲物理快报EPL”(EPL: A letters journal exploring the frontiers of Physics)上发表论文,报道了课题组在超对称量子力学方面取得的研究进展。论文题目为“A new shape invariance form of the trigonometric Scarf potential: Two-parameter cross-additivity shape invariance”(三角Scarf势新的形状不变性形式:双参数交叉加性形状不变性)。该论文以重庆师范大学为唯一单位,研究生熊露霖为论文第一作者,罗光教授为通讯作者。
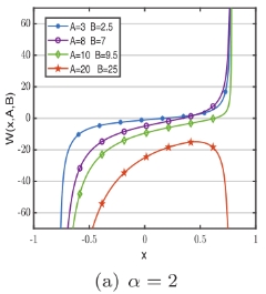
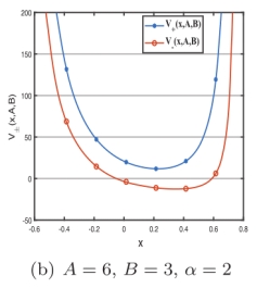
三角Scarf势是量子力学和固体物理相关领域中一个非常重要的势。研究和讨论这个势(包括它的逆势)具有重要意义。论文基于超对称量子力学,对于三角Scarf势,我们发现具有两个参数的形状不变性表现出一个新的特征,即两个参数的交叉可加性特征:A1→B0+α/2,B1→A0+α/2,不同于传统的加性特征:A1→A0+α/2,B1→B0+α/2。参数的交叉加性变化给波函数和能谱带来了新的特性。并且利用势代数方法研究了该势的双参数形状不变性。
2022年3月以来,罗光教授指导的研究生和本科生已在国外SCI期刊发表论文5篇。其中2020级理论物理硕士研究生熊露霖以第一作者身份先后在《Results in Physics》(2022年影响因子/JCR分区:4.565/Q2)、MDPI的《Symmetry》(2022年影响因子/JCR分区:2.940/Q4)和物理经典期刊EPL(2022年影响因子/JCR分区:1.958/Q3)上各发表论文一篇。2019级本科生钟世坤和李敏分别以第一作者身份在《Results in Physics》(2022年影响因子/JCR分区:4.565/Q2)、《Advances in Mathematical Physics》(2022年影响因子/JCR分区:1.364/Q3)上发表论文一篇。在上述论文中,罗光教授均为通讯作者。
原文链接://iopscience.iop.org/article/10.1209/0295-5075/ac907a/meta




