近日,斗牛扑克平台
光学检测与成像系统课题组研究生王小燕成功提出一种新型高效稳定的电催化剂Pd@CoP/NF用于海水电解制氢,相关研究成果以题为“Hydrogen Spillover Boosted Hydrogen Evolution Electrocatalysis over Pd@CoP in Alkaline Seawater” 在《ACS Materials Letters》上发表,重庆师范大学为第一单位,王小燕为第一作者、导师胡建明和联合培养导师孙旭平为通讯作者。
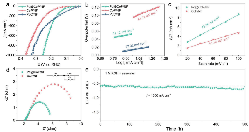
海水电解制氢是通过电解海水产生氢气的一种清洁能源技术,具有广阔的应用前景。然而,由于海水成分复杂,开发高效且稳定的电催化剂对于实现这一目标至关重要。氢溢出现象是指在固体催化剂表面,氢原子从一个活性位点迁移到另一个活性位点的现象。基于此,光学检测与成像系统课题组通过水热-磷化-浸渍法成功开发了一种高效稳定的电催化剂Pd@CoP/NF,用于碱性海水中的氢气演化反应(HER)。这种催化剂在1000 mA/cm⟡的电流密度下,仅需249 mV的过电位,并且在500小时的长时间运行中表现出色。表面的Pd纳米颗粒和CoP纳米针之间的氢溢出现象,提高了HER的反应效率和动力学。

图为Pd@CoP/NF的合成示意图及相关表征

图为Pd@CoP/NF的电化学性能测试数据

图为Pd@CoP/NF存在氢溢出现象的电化学数据证明
初审:王向民,复审:赵和平,终审:杨云